![]() |
(楼主)学以致用
2023-06-30 08:40:56 |
成绩查询
成绩公布时间:6月29日15:00
成绩查询时间:6月29日15:00-18:00,6月30日-7月1日每天9:00-18:00
查分入口:济南市教育招生考试院网站
九年级学考成绩单通过区县教体局考试机构、初中学校发放。如有个人需要,应届毕业生可于6月30日(由毕业学校确定)到原初中毕业学校凭准考证签字领取个人考试成绩单,往届生及外地返济考生到区县教体局考试机构指定的成绩发放处签字领取。
全市八年级及莱芜区、钢城区七年级学考成绩由初中学校负责告知。
原济南地区分数线
志愿填报资格线
1、普通高中志愿填报资格线为460分。
2、“3+4”对口贯通分段培养高职志愿填报资格线为471分。
3、五年制高等师范教育志愿填报资格线为360分。
4、五年制高等职业教育、“三二”连读高等职业教育志愿填报资格线为180分。
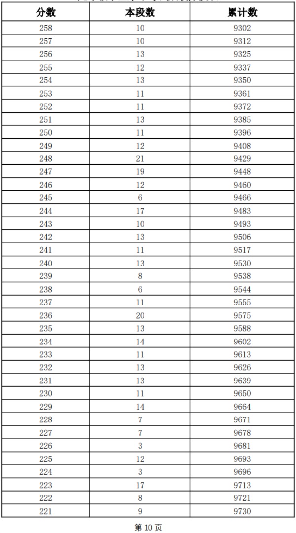
一分一段表
✿全市一分一段表












✿市内七区一分一段表












原莱芜、钢城地区分数线
志愿填报资格线
1、公办普通高中志愿填报资格线为415分,民办普通高中志 愿填报资格线为388分。
2、普通高中招生音乐专业志愿填报资格线为368分,美术专 业志愿填报资格线为373分。
3、五年制高等师范教育志愿填报资格线为340分,五年制高 等职业教育、三二连读高等职业教育志愿填报资格线为150分。
一分一段表

济南市招生录取时间为
2023年7月4日至7月30日